CN News
カーボンニュートラルニュース

こちらのコーナーは会員限定コンテンツです。会員の方はログインした上で「カーボンニュートラルニュース」をご覧いただけます。

2026.05.14 vol.83

長崎県産業振興財団が福岡市の水素施設の視察会実施
 

2026.05.07 vol.82

日立製作所が高電圧に対応可能な水電解スタックの絶縁配管を開発
 

2026.04.30 vol.81

カナデビアがインドの再生可能エネルギー開発会社とMOU締結
 

2026.04.20 vol.80

水素の大規模輸送と利活用に向けて関西エリアで12社が実証開始
 

2026.04.13 vol.79

伏木富山港で国内初となる水素のモーダルコンビネーション輸送実証

2026.04.09 vol.78

㈱ロボティクスが広島の物流倉庫に水素ドローンポート実装へ
 

2026.04.03 vol.77

近畿経済産業局が万博レガシーを活かすために「関西水素産業交流ラウンジ」を開催

2026.03.30 vol.76

名古屋港でのFCフォークリフト実証試験の結果を公表
 

2026.03.19 vol.75

北海道の三笠市で石炭燃焼ガスから水素を製造する実証実験
 

2026.03.16 vol.74

ヤンマーパワーソリューションがフェニックス事業用地を取得
 

2026.03.13 vol.73

エネルギーセミナー『水素社会実現に向けた旭化成㈱の取り組み』を開催

2026.03.12 vol.72

エネルギーセミナー『欧州の水素市場の予測2030』を開催
 

2026.03.09 vol.71

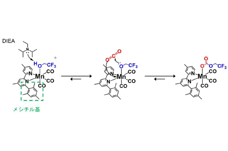
広大が希少金属を含まない「マンガン錯体触媒」により低濃度CO₂をCOに還元する光触媒法を開発

2026.03.05 vol.70

最新技術をより身近に感じられ、人とつながる『名古屋水素技術フェア』

2026.02.25 vol.69

あらたなエネルギー産業を創出するための「静岡県創エネ・畜エネ技術開発推進協議会」

2026.02.21 vol.68

群馬県の「板倉ニュータウングリーンブロック」 
 

2026.02.09 vol.67

能代市がJAXAロケット実験場などと連携して「水素ラボ」構想
 

2026.01.20 vol.66

和歌山高専の「すいそ組」が県の環境賞に輝く
 

2025.12.24 vol.65

水素と電力の双方での走行が可能なホンダの燃料電池自動車「CR-V e:FCEV」

2025.12.20 vol.64

㈱INPEXのブルー水素・アンモニア製造・利用プラントが新潟・柏崎に完成

2025.12.13 vol.63

国内初の燃料電池大型トラック
量産モデル「日野プロフィア Z FCV」

2025.12.02 vol.62

自転車でもクルマでもない4輪の電動モビリティ「CURIO Q1」
 

2025.11.28 vol.61

豊田合成が水素カートリッジを搭載したコンセプトカーを公開
水素バイクに活用した事例も

2025.11.05 vol.60

自動車産業界の脱炭素化、デジタル化の現状は? 広島市がサプライヤー500社にアンケート

2025.10.27 vol.59

大阪・関西万博で活躍した水素燃料電池船「まほろば」を東京湾で運航へ

2025.10.10 vol.58

「稼ぐ力」を育てる秋田県の脱炭素戦略!!
 

2025.10.06 vol.57

膜分離法でごみ焼却施設の排ガスからCO₂回収!!
 

2025.10.02 vol.56

水素の社会実装を目指し「NAGOYA H2 Biz」を立ち上げ
 

2025.09.26 vol.55

富山県南砺市と東京のスタートアップ企業が水素実証プラントで協定締結

2025.09.22 vol.54

九州大学と九州電力が「天然水素」の国内初の調査を開始
 

2025.09.19 vol.53

経産省が商用車向け水素燃料費に追加的支援 
 

2025.09.16 vol.52

今治市が水素サプライチェーン構築の調査を開始 
 

2025.09.09 vol.51

帆船の推進力で水素をつくる商船三井の「ウインドハンタープロジェクト」

2025.09.04 vol.50

三井E&Sが港湾ターミナル内での水素安定供給に向けてモジュール化や同時並列充填などを調査

2025.09.01 vol.49

ディーゼルエンジンを水素エンジンに改造する「水素コンバージョン」

2025.08.28 vol.48

水素エネルギーの研究拠点が集まる九州大の「水素キャンパス」
 

2025.08.22 vol.47

福島県郡山市の旅行会社が水素関連施設めぐる「水素ツーリズム」
 

2025.08.18 vol.46

ジャパンハイドロが推進する水素燃料船 水素エンジンの開発でベルギーBeHydro社とも提携

2025.08.11 vol.45

西部ガスが地産地消のメタネーション実証試験を開始
 

2025.08.07 vol.44

名古屋港で商用化のための水素供給インフラを設計・検証 水素圧縮作業を効率化するなど検討

2025.08.04 vol.43

北海道富良野市の小中学校の空調電源 当面代替電源で稼働
 

2025.07.28 vol.42

北海道初の大規模商用水素ステーションがオープン
 

2025.07.24 vol.41

脱炭素社会への有力な切り札
バイオエタノールの現在地と未来図

2025.07.21 vol.40

山形県が水素エネルギー利活用実証研究に上限1000万円の支援補助金

2025.07.17 vol.39

中国が日本を抜き水素関連の特許競争力で首位に 地方特区が競争力をけん引

2025.07.14 vol.38

「体験できるカーボンオフセット農園」を開始(マイファーム)
 

 class=

2025.07.10 vol.37

竹中工務店と那須電機鉄工が安全で小型の水素タンクを開発
 

2025.07.07 vol.36

ハルビアとトヨタ自動車が共同で水素サウナヒーターを開発
 

2025.06.30 vol.35

入交昭一郎のカーボンニュートラル提言 水素エネルギーの商品群が生まれてきている

2025.06.26 vol.34

「神戸カーボンニュートラル支援ネットワーキング」で中小企業のGX推進を支援

2025.06.23 vol.33

高温水素環境下での金属素材を評価する試験機を九州工大とリックス㈱が共同開発

2025.06.19 vol.32

鹿児島県、官民でGX 推進
アミノ酸含む飼料与え肉牛の肥育期間短縮し温室効果ガスを削減

2025.06.16 vol.31

「燃料電池シンポジウム」で大学や企業が最新の研究成果を公表
 

2025.06.12 vol.30

福岡県内企業が豪州の水素関連訪問団にプレゼンテーション
 

2025.06.09 vol.29

豪州NSW州の水素関連訪問団が福岡県の水素関連施設を視察
 

2025.06.05 vol.28

自動車用バイオエタノールの未来
–2040年度E20導入を目指して–
 

2025.05.29 vol.27

プラスチック加工で確かな信頼と実績 本業生かし波力発電開発に乗り出す

2025.05.26 vol.26

横浜港の脱炭素化を推進!!
横浜市が船舶燃料の温室効果ガス排出削減に取り組む

2025.05.22 vol.25

東京都が昨年度に続いてグリーン水素のトライアル取引を実施
 

2025.05.19 vol.24

神戸港で世界初の水素エンジン発電機で稼働するRTGの現地稼働実証がスタート

2025.05.15 vol.23

山梨大学が国の大学強化事業で「クリーンエネルギー研究拠点」として採択

2025.05.12 vol.22

NEDO助成のブルーアンモニア製造設備が実証運転開始へ
 

2025.05.12 vol.21

ガラス工業炉でのアンモニア燃焼でCO₂排出量削減
 

2025.05.05 vol.20

日本特殊陶業㈱が取り組む「水素の森」プロジェクト
 

2025.05.01 vol.19

佐賀県が産官金連携で取り組む「SAGAネットゼロ・コンソーシアム」

2025.04.24 vol.18

茨城県日立市が提供する「日立市脱炭素経営支援システム」
 

2025.04.21 vol.17

浜松市がCO₂排出実質ゼロ事業者を認定 カーボンニュートラル実現に向け側面支援

2025.04.17 vol.16

水素ビジネスに取り組む実業家とバイオ燃料コンサル代表が世界・日本の動向を情報交換

2025.04.14 vol.15

五島列島ですすめられる潮流発電の実証試験 5~6月には国内初の電力網への送電が開始

2025.04.10 vol.14

万博期間中、週3日ペースで水素燃料電池船「まほろば」が運航
 

2025.04.07 vol.13

原子炉(高温ガス炉)の熱を利用して水素を大量かつ安価に製造
 

2025.04.03 vol.12

大手が水素事業を展開する神戸で立ち上げられた「神戸水素クラスター」

2025.03.31 vol.11

岩手県岩泉町で「小水力発電導入可能性調査」を実施調査した全13地点で80kW以上を記録

2025.03.27 vol.10

使用済み食用油からSAF製造へ
サーキュラーエコノミーを推進
 

2025.03.24 vol.9

入交昭一郎のCNニュートラル提言
日本は海外諸国と連携して早急に脱CO₂ 産業を育てるべきだ‼

2025.03.17 vol.8

産総研が共電解とFT合成を組み合わせた「液体合成燃料」の一貫製造プラントを開発

2025.03.10 vol.7

国際水素・燃料電池展が大盛況!! 大企業、中堅・中小企業、自治体、研究機関が集結!!

2025.03.03 vol.6

水素の供給コスト低減策と、地産地消型のエネルギーシステムの実績づくりが重要だ!!

2025.02.11 vol.5

「羽田みんなのみらい 水素エネルギー展」開催 水素社会の今と将来のあり方を講演

2025.02.06 vol.4

東京ビッグサイトで「第16回EV・HV・FCV技術展」が開催
全国から100社以上の企業が集結

2025.02.05 vol.3

東京都が世界初となる市場形式での水素取引を実施。取引ルールを透明化し、2マッチングが成立

2024.12.20 vol.2

「産学官連携で研究開発がすすめられる水素燃料電池タイプの電動モビリティ

2024.12.10 vol.1

水素エネルギー研究会顧問の入交昭一郎氏が時価総額世界第1位のエヌビディアCEOと再会